TIRANE

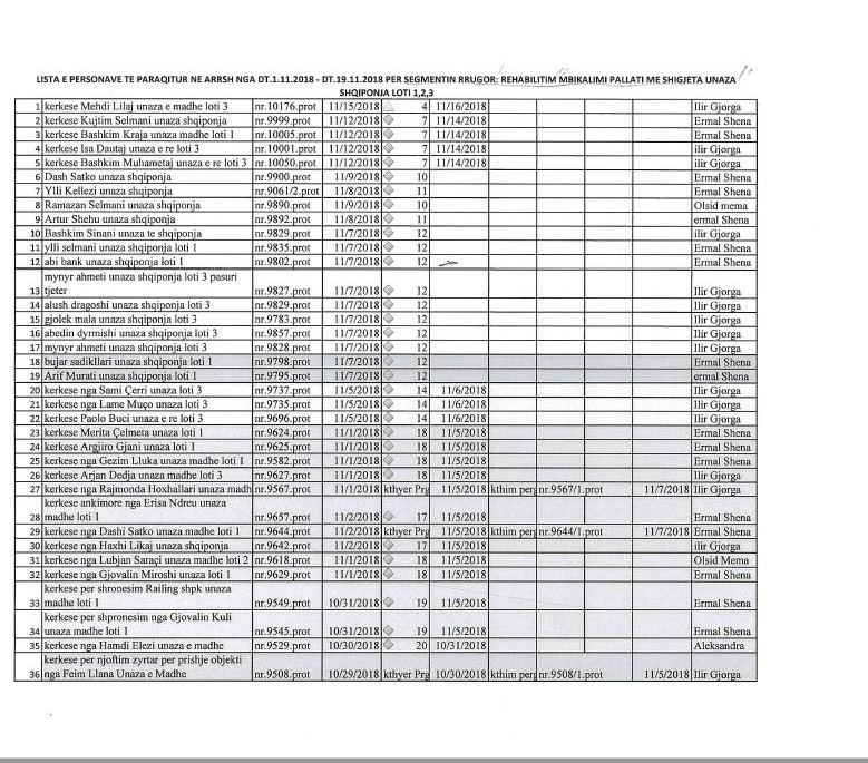
Ndonëse banorët e zonës së ‘Astirit’ mohojnë se janë paraqitur tek Autoriteti Rrugor Shqiptar për sqarime në lidhje me protestën e tyre për banesat që preken nga Unaza e Madhe, Ministria e Infrastrukturës dhe Energjisë ka një listë me emrat e banorëve që kanë zhvilluar takim me ARRSH.

Në listën e Ministrisë së Infrastrukturës të siguruar nga ‘BalkanWeb’ janë emrat e pronarëve që sipas MIE janë pritur personalisht nga drejtori i ARRSH, Afrim Qendro, të cilët kanë marrë informacione dhe janë sqaruar për hapat që duhet të ndjekin për t’u shpronësuar.

9i,uyhnb
9i,uyhnb

 

(d.d/BalkanWeb)

© BalkanWeb
Për t’u bërë pjesë e grupit "Balkanweb" mjafton të klikoni: Join Group dhe kërkesa do t’ju aprovohet menjëherë. Grupi Balkanweb