Partia demokratike ka vijuar akuzat ndaj ministrit të Brendshëm, Sandër Lleshaj, lidhur me tenderin për uniformat e policisë.

Drejtuesja e Departamentit të Antikorrupsionit në PD, Lealba Pelinku, shkruan në “Facebook” se Lleshajt iu deshën 24 orë për të reaguar për tenderin korruptiv, por në vend të fakteve sulmoi opozitën.

“Kjo është fara më e keqe e politikanëve. Është kjo farë që na grabit, na dhunon dhe na kërkon të heshtim për krimet e tyre. Një përpjekje e çuar dëm, sepse opozitës dhe qytetarëve nuk ia mbyll dot gojën as me gaz, as me kërcënime me gjyq. Një gjë është e sigurt, se paratë nga tenderi korruptiv 30 milionë euro do të gjurmohen, do të zbulohen, do t’i sekuestrohen farës së keqe si Sandër Lleshaj dhe do t’u kthehen shqiptarëve”, shkruan Pelinku.

  • foto galeri
  • foto galeri
  • foto galeri
  • foto galeri
  • foto galeri
  • foto galeri
  • foto galeri
  • foto galeri

Reagimi i plotë:
Sandër Lleshajt iu deshën 24 orë për të reaguar për tenderin korruptiv të uniformave të policisë, por në vend të fakteve, sulmoi opozitën.

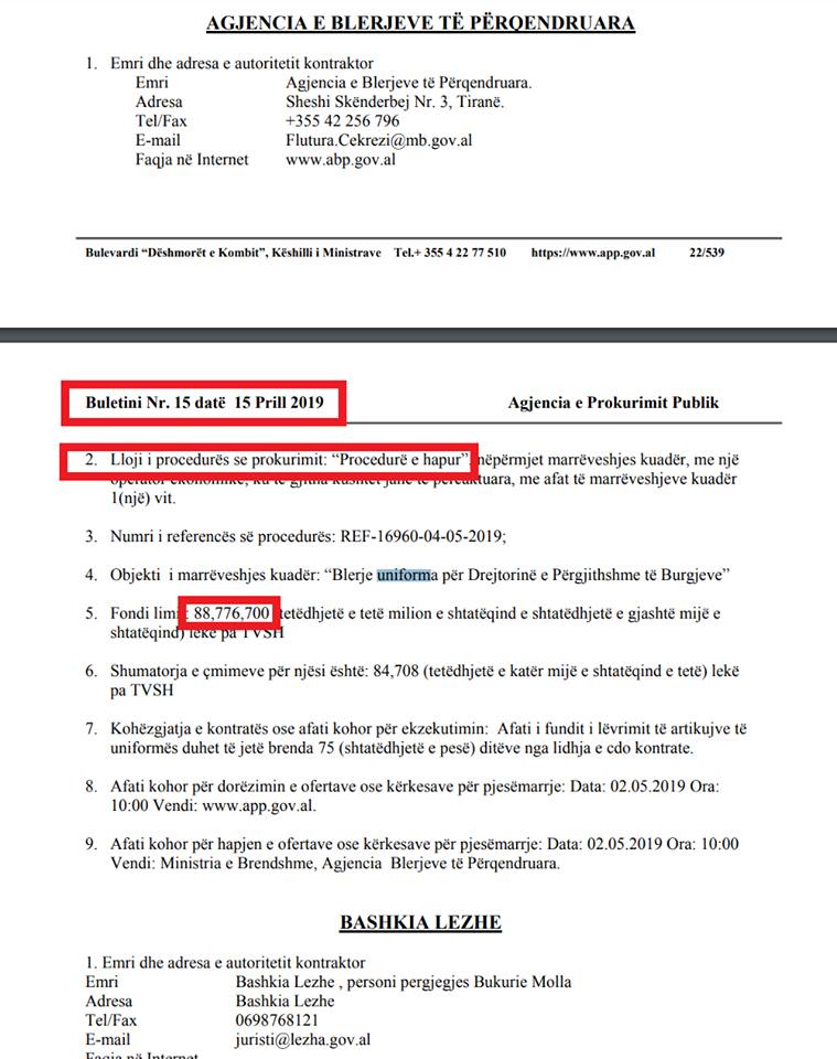
Ministri i tenderit hajdut 30 milionë euro, që bën vetëm propagandë dhe sulmon opozitën, nuk përgjigjet dot pse zgjodhi të eliminojë garën e ndershme, duke përgjysmuar afatin për pjesëmarrjen në tender. Sandër Lleshaj nuk ka gojë të flasë as për të shpjeguar pse tani ka vendosur procedurën e kufizuar, ndërsa vetëm pak muaj më parë, lejoi procedurën e hapur.

Tenderi 30 milionë euro i uniformave të policisë nuk është një tender i jashtëzakonshëm, që kërkon materiale të ndërlikuara, siç e ka keqpërdorur parashikimin ligjor Sandër Lleshaj.

Janë pantallona, xhaketa, këpucë dhe gjëra të tjera të zakonshme të uniformës së policit, që gjenden lehtësisht në treg, që mund të prodhohen nga mijëra kompani shqiptare dhe të huaja, qoftë edhe “me specifikime e standarde të veçanta”- siç belbëzon Sandër Lleshaj, i kapur në flagrancë me 30 milionë euro tender korruptiv.

Kjo është fara më e keqe e politikanëve. Është kjo farë që na grabit, na dhunon dhe na kërkon të heshtim për krimet e tyre. Një përpjekje e çuar dëm, sepse opozitës dhe qytetarëve nuk ia mbyll dot gojën as me gaz, as me kërcënime me gjyq. Një gjë është e sigurt, se paratë nga tenderi korruptiv 30 milionë euro do të gjurmohen, do të zbulohen, do t’i sekuestrohen farës së keqe si Sandër Lleshaj dhe do t’u kthehen shqiptarëve.

(d.ç./BalkanWeb)

© BalkanWeb
Për t’u bërë pjesë e grupit "Balkanweb" mjafton të klikoni: Join Group dhe kërkesa do t’ju aprovohet menjëherë. Grupi Balkanweb